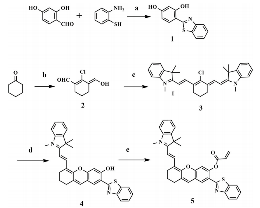
Name: HI probe
Composition: 2,4-dihydroxy-benzaldehyde 2-aminobenzyl thiol cyanine 3 1,2,3,3-tetramethyl-3H-indolium
grain size:
Application: Tumor drug resistance monitoring
Storage conditions: -4℃
Other instructions: sealed state shelf life for half a year [main advantage] not only can be used in in vitro environment glutathione and cysteine high specificity detection and quantitative analysis, at the same time can realize living tumor and cellular real-time monitoring and fluctuation report, and detection, identification process is not affected by other non-specific amino acids. The application of this probe to cellular and biological tumors can not only help to study the role of glutathione and cysteine in a series of physiological and pathological processes, but also can evaluate and report the redox regulation ability of tumor bodies in the process of chemotherapy, so as to monitor the occurrence of tumor drug resistance.
Title:Development of a NIR fluorescent probe for the detection of intracellular cysteine and glutathione and the monitoring of the drug resistance
Article link:https://mp.weixin.qq.com/s?__biz=MzIxMTI4MTE5OQ==&mid=2247488173&idx=1&sn=5a7e3e7485a2e463f55b5d0d4538818b&chksm=9756e6eda0216ffb52334b6ca285dd3007290206cf5f8bc4cd89ae9088814728fb7715ca0fcb&scene=27

| Warm tips: Suzhou Beike nano products are only used for scientific research, not for human body,different batches of products have different specifications and performance |
Message
|
|
 |
Scan code concerns WeChat official account
QQCommunication group:1092348845
|
|
| Warm tips: Suzhou Beike nano products are only used for scientific research, not for human body,different batches of products have different specifications and performance.The website pictures are from the Internet. The pictures are for reference only. Please take the real object as the standard. In case of infringement, please contact us to delete them immediately. |